- 打卡等级:小镇青年
- 打卡总奖励:388
- 最近打卡:2025-09-10 14:06:21
|
这是我们的足球场先生版主,前些时去抗灾救援的亲身经历。到目前为止,就我所知,本论坛已有2位版主和2位会员去一线救灾过了,他们均为川外专家!
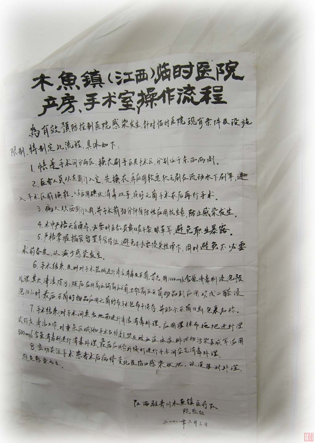
W版是支援院感建设的!我很感动!感动他那么年轻,就能在那样艰苦的条件下,因地制宜,用棉签写制度,用野炊来消毒!
我也欣喜地看到在我们医疗队的帮助下,受灾同胞们的医疗条件一天天好起来!
现在,各省还继续派医疗队去帮助重建家园,这是一项长期的任务,我院就有医生和护士去了青川,说不定哪天还需要院感人员的派驻呢!大家先参考一下W版的好办法吧! |
|